疲労設計とは?S-N曲線・応力集中・寿命計算まで実務で使える形で解説【計算例付き】
- 特殊鋼コラム
- 製品情報
- ABREX
- COR-TEN
- S-TEN
- S45C S50C
- SCM440
- SS400
- WEL-TEN

目次
疲労設計の基礎から実務までを解説。S-N曲線による寿命評価、応力集中、平均応力補正、Miner則、溶接構造物の注意点、計算例まで体系的に整理し、疲労破壊を防ぐ設計の考え方が分かります。
執筆・監修者
熊谷憧一郎(くまがい しょういちろう)
クマガイ特殊鋼株式会社 代表取締役社長。1977年生まれ、愛知県出身、成蹊大学経済学部卒業。2000年に大手総合商社へ入社し、ステンレス鋼材の販売に4年間従事。その後、現在の会社に入社し営業・加工技術の実務経験を積み、2013年より現職。特殊鋼販売技師の資格を有し、特殊鋼材の販売・加工に一貫して携わる。会社代表としても特殊鋼販売技師や加工技師などのプロ社員集団を束ねる。
1.【結論】疲労設計で最初に押さえるポイント
疲労強度を考慮した設計では、次の点を確認することが重要です。
- 応力レベルは疲労限度以下か
- 応力集中は適切に評価されているか
- 表面状態は管理されているか
- 使用環境は考慮されているか
これらの要素を総合的に検討することで、信頼性の高い機械設計が可能になります。
2.疲労破壊とは?材料が繰り返し荷重で壊れる仕組み
【実際の機械事故の多くは疲労破壊に起因します】
機械や構造物の多くは、使用中に繰り返し荷重を受けています。材料は引張試験などで得られる静的強度以下の応力であっても、長期間にわたり荷重が繰り返されることで破壊することがあります。この現象を**疲労破壊(fatigue failure)**と呼びます。
図1は疲労き裂によって破断した丸棒の断面を模式的に書いたものです。ある起点から微小なき裂が発生し、徐々にき裂が進展して(ビーチマーク*))割れが大きくなっていきます。ついには残部だけでは耐えられなくなり、一気に破断します。
*)ビーチマーク:引潮のとき砂浜に波で形成された等高線状の模様に似ているため。(走査電子顕微鏡による拡大で見られる1回ごとの進展を表すストライエーションとは別物。)
疲労破壊の特徴は、このように破壊が突然発生することです。部材の外観に大きな変形が現れないまま破断することが多いため、設計段階での適切な評価が重要になります。
実際の機械事故の多くは疲労破壊に起因すると言われており、機械設計では必ず考慮すべき破壊形態の一つです。そのため、材料の静的強度だけでなく、繰り返し荷重に対する耐久性である疲労強度を考慮した設計が必要になります。

2.疲労強度とは?静的強度との違い
【 ポイント】
・疲労強度は静的強度より大幅に低い
・長期使用では必ず考慮が必要
材料強度には、主に以下の2種類があります。
- 静的強度
- 疲労強度
静的強度は引張強さや降伏強さなど、単一荷重に対する強度を示し、設計強度よりも過負荷がかかると変形や破断に直結します。
一方、疲労強度は繰り返し荷重に対する耐久性を表す指標です。
多くの材料では、疲労強度は静的強度よりもかなり低くなります。例えば一般的な鋼材では、疲労限度は引張強さの30~50%程度になることが多いです。
このため、静的強度のみを基準に設計した場合、長期間の使用中に疲労破壊が発生する可能性があります。特に回転機械や輸送機械、橋梁などでは、繰り返し荷重がかかるため疲労設計は非常に重要な設計要素となります。
3.S-N曲線とは?疲労寿命の基本
【ポイント】
・S-N曲線は「応力」と「繰り返し回数(寿命)」の関係を示す
・応力が低いほど、破断までの回数(寿命)は長くなる
・ある応力以下では破壊しない領域(疲労限)が存在する(鋼材)
・負荷条件(曲げ・引張など)によってS-N曲線は変わる
・設計では「実際の応力」とS-N曲線を比較して寿命を評価する
疲労特性を評価するために広く用いられるのがS-N曲線(Wöhler曲線)です。
S = f(N)
ここで
- S:応力振幅(Stress)
- N:破断までの繰り返し回数(Number of cycles)
を表しています。
S-N曲線は、ある応力レベルで材料が何回の繰り返し荷重に耐えられるかを示しています。一般的には応力が低くなるほど、耐えられる繰り返し回数は増加します。
疲労試験についてはJIS Z2273などに規定されており、図2は疲労試験によるS-N曲線の例です。
縦軸は繰り返し負荷するある一定の応力振幅で、横軸はその応力振幅で何回繰返したら破断したかの回数をそれぞれ対数で表しています。この図2の例では500MPaだと140,000回で破断し、400MPaだと410,000回まで耐えられることを示します。また350MPaより低いといつまで経っても破断しません(一般には106回を超えるあたりで破断しないと判断します)。この破断しなくなる境界を疲労限といってこれより低い応力振幅では疲労破壊が起こらないと判断します。
このS-N曲線は、曲げか回転曲げか引張・圧縮かなどによって違ってきますので、想定される条件での疲労強度を考える必要があります。
設計では、使用条件で想定される応力とS-N曲線を比較することで、部材の疲労寿命を評価します。

4.疲労限と有限寿命設計
S-N曲線から分かることは、前項で述べた、設計応力を疲労限以下に設定することで、長期間の使用に耐える設計が可能になります。
鋼材では、この疲労限が存在しますが、アルミニウム合金などでは明確な疲労限が存在しません。応力が低くても、繰り返し回数が増えるといずれ破壊が発生します。このような場合や鋼材でも繰返し回数が限られる場合は、想定寿命を基準に設計する有限寿命設計が必要になります。
想定される寿命までの繰返し回数に対して、S-N曲線で対応する応力振幅を求め、それ以下の応力になるように設計するというものです。
条件によって疲労設計の考え方が異なる点は、設計者が理解しておくべき重要なポイントです。
5.疲労破壊の進行プロセス
1項でも述べましたが、疲労破壊は一般的に次の3段階で進行します。
- き裂の発生
- き裂の進展
- 最終破断
疲労き裂は多くの場合、材料表面の微小な欠陥や応力集中部から発生します。その後、繰り返し荷重によってき裂が徐々に進展し、残った断面が荷重に耐えられなくなると急激に破断します。
疲労寿命の多くは、き裂が発生と初期進展の期間に費やされます。き裂が進展し始めると断面積が減少していくため、結果的に実質応力が上昇し加速していきます。
き裂の発生を抑える設計が疲労強度向上の重要なポイントになります。
き裂が進展した後、最終破断が延性的に起こるか、脆性的に起こるかは鋼材の持つ靭性によります。いずれにせよ限界を超えると、一気に破断に至ります。
6.疲労強度に影響する要因
疲労強度は材料の強度だけで決まるものではありません。さまざまな要因が疲労寿命に影響します。
代表的な要因には次のようなものがあります。
- 表面粗さ →粗い方が疲労大
- 残留応力 →引張応力の方が疲労大
- 部材寸法(サイズ効果) →大きい方が疲労大(応力勾配と欠陥の存在確率の影響)
- 温度 →高温の方が疲労大
- 腐食環境 →腐食環境の方が疲労大になることあり
特に疲労き裂は表面から発生することが多いため、表面状態は疲労強度に大きく影響します。表面が粗いほど応力集中が発生しやすくなり、疲労強度は低下します。表面を研削し粗度を下げることは効果が大きくなります。
部材寸法のところで書いたように、鋼材の内部欠陥の存在も内部からのき裂発生に影響するので、内部品質のいい鋼材メーカーを選ぶことも実用的には重要です。
7.応力集中と疲労強度【最重要】
【ポイント】
・疲労き裂のほとんどは応力集中部から発生
・設計で最も効く対策は形状配慮
機械部品には段付き部、穴、溝などの形状が存在します。これらの部分では局所的に応力が高くなる応力集中が発生します。
応力集中は疲労破壊の主要な原因の一つです。疲労き裂は多くの場合、応力集中部から発生します。
そのため設計では、応力集中係数を考慮した評価が必要になります。どの部分にどれだけの応力がかかるかを解析することが必要です。
具体的には次のような設計配慮が重要です。
- 急激な断面変化を避ける
- 角部に十分なRを設ける
- 溝や穴の形状を適切に設計する
これらの工夫により、疲労強度を大きく改善することができます。
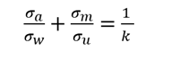
8.平均応力の影響(修正Goodman線図)
実際の機械部品では、荷重は完全な交番応力ではなく平均応力を伴うことが多いです。平均応力が引張側に大きくなると、疲労強度は低下します。
平均応力の影響は、次のような関係式で評価されることがあります。

式(1)
ここで、
σa:応力振幅(MPa) σw:両振りの疲労限(MPa) (添え字Wは人名Wöhlerによる)
σm:平均応力(MPa) σu:引張強度(MPa)
σwとσuは、その鋼材に固有の定数になります。
図3に平均応力と応力振幅について図解しています。これを式で表すと次の様になります。
σm=(σmax+σmin)/2 σa=(σmax-σmin)/2
式(1)の関係は修正Goodman線図として知られており、疲労設計で広く利用されています。この関係を図示したのが図4で、この線より上だと疲労破断する、下だと疲労破断しないという境界になります。
この線より下でも平均応力が降伏強度を超えるような場合は変形が生じてしまうため、引張強度の代わりに降伏強度を使用する場合があります。その場合はSoderberg線図と呼ばれます。
図4は平均応力がゼロからプラス側、すなわち両振りから引張側の図になっています。圧縮がメインになるとマイナス側になりますが、その場合は閉口した状態がメインのため、直線の延長ではなく、単純に疲労限を超えるかどうかで判断します。
安全率を考慮すると、図4の修正Goodman線図の縦軸の切片はσwを安全率kで割ったもの、横軸の切片はσuを安全率kで割ったものになりそれを結んだ直線(平行移動)になり、図5のようになります。
式で書くと以下のようになります。




9.溶接構造物の疲労設計
【実務ポイント】
・溶接部は材料強度ではなく形状で決まる
・FATクラスで評価する
溶接構造物は、母材と比較して疲労強度が低くなることが知られています。母材の強度を上げて疲労を改善しても、継手部を含めるとほとんど効果がなくなります。その主な理由は、溶接特有の形状および材料特性にあります。
まず、溶接止端部では形状の不連続により強い応力集中が発生します。疲労き裂はこのような応力集中部から発生することが多く、溶接部は疲労破壊の起点になりやすい箇所です。
また、溶接時の加熱と冷却により、溶接部には引張残留応力が発生します。この残留応力は平均応力として作用し、疲労強度を低下させる要因となります。
さらに、熱影響部(HAZ)では材料組織が変化するため、母材と比較して特性が不均一になることがあります。
このような理由から、溶接構造物の疲労設計では、母材とは異なる設計手法が用いられます。
一般的な機械部品では材料強度に基づいて疲労設計を行いますが、溶接部では**継手形状に基づく疲労強度評価(FATクラス)**が用いられます。これは、溶接部では応力集中や欠陥の影響が支配的であり、材料強度の影響が小さいためです。
FATクラスでは、継手の種類ごとに許容される応力範囲が定められており、公称応力を用いて疲労評価を行います。応力集中の影響はすでにFATクラスに含まれているため、通常は応力集中係数を別途考慮する必要はありません。
設計においては、溶接止端の形状改善やビードの仕上げ状態の管理が重要です。例えば、止端部をグラインダで仕上げることで応力集中を緩和し、疲労強度を向上させることができます。
溶接止端部の処理に対して、超音波衝撃処理(Ultrasonic impact treatment : UIT)というものがあります。これは、超音波振動させたピンで止端部を打撃し、当該部をR形状にして応力集中を下げるとともに、溶接の引張残留応力を圧縮応力に変換することで疲労強度を改善するものです。
また、溶接部の疲労改善には、荷重の流れが滑らかになるような構造設計も重要なポイントです。
このように、溶接構造物の疲労設計では、材料強度だけでなく、形状・施工・仕上げ状態を含めた総合的な設計が求められます。
10.疲労設計の考え方(耐久限度・有限寿命・損傷許容)
疲労設計にはいくつかの方法があります。
代表的な設計方法は次の通りです。
- 耐久限度設計
- 有限寿命設計
- 損傷許容設計
一般的な機械設計では、耐久限度を基準に安全率を考慮した設計が行われることが多いです。これは、これまでに書いてきたS-N曲線の疲労限より低い応力に抑制することで、疲労破壊を起こさせないという考え方です。
次の有限疲労設計というのは疲労限を超える応力を与えても、繰返される回数が決められていて、寿命を超えないという場合に適用できます。この場合、下記のMiner則も考慮して最大振幅だけでなく、累積された寿命を考慮する必要があります。
最後の損傷許容設計というのは、疲労き裂等により欠陥が存在しても不安定な急速破壊せず、機能を維持できるようにしておく考え方です。定期的な検査等により、欠陥の大きさを把握し、確実に補修、交換等がなされることが必要です。
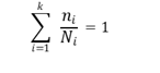
11.Miner則と累積損傷
実際の機械では、荷重は一定ではなく変動します。そのため、単一の応力レベルだけで疲労寿命を評価することはできません。
このような場合に用いられるのが累積損傷則です。代表的な評価方法としてMiner則があります。

ここで
- :ある応力レベルでの破断回数(S-N曲線で求まる)
- :その応力での実際の繰り返し回数
を表します。
例えば破断寿命が応力振幅500MPaで50万回、300MPaで600万回の時、500MPaで10万回繰返すと寿命の20%が損傷し、さらに300MPaで50万回繰返すと寿命の12%が損傷し、合計で32%損傷すると考えます。各応力レベルでの損傷を加算し、合計が100%(比率で1)になると破壊するという考え方です。
12.疲労設計の計算例①:修正Goodman線図による評価
ここでは、簡単な疲労設計の例として、平均応力を考慮した疲労強度の評価を行います。
12-1.設定条件
引張強さ

の鋼材を使用した部材を考えます。この材料の疲労限度を

とします。部材には次の応力が作用しています。


12-2.修正Goodman式による評価
この部材が疲労破壊する可能性があるか、修正Goodman線図を用いて評価します。
疲労限度は

となります。
平均応力の影響は次の関係式で評価します。

この式の左辺を計算します。

となるため、この部材は疲労破壊に対して安全側にあると評価できます。
12-3.設計上の考察
今回の例では安全側でしたが、値は0.85と比較的1に近いため、実際の設計では安全率を考慮する必要があります。
例えば安全率1.5を考慮すると 0.85×1.5=1.28
となり、1を超えてしまうため、設計条件としては余裕が小さい可能性があります。
疲労破壊の懸念がある場合、次のような設計改善が考えられます。
- 部材断面を増やして応力を低減する
- 応力集中を減らす形状に変更する
- 表面処理(ショットピーニングなど)を行う
13.疲労設計の計算例②:応力集中を考慮
疲労破壊は、段付き部や溝、穴などの応力集中部から発生することが多いことが知られています。そのため、疲労設計では公称応力だけでなく、応力集中によって局所的に増加した応力を考慮する必要があります。
ここでは、段付き部をもつ部材を例に、応力集中を考慮した疲労設計の簡単な計算例を示します。
13-1.設定条件
前項と同じように、引張強さが

の鋼材を使用した部材を考えます。鋼材の疲労限も前項と同じく、

とします。この部材には、繰り返し荷重によって次の公称応力振幅が作用しているとします。

また、段付き部の形状によって応力集中係数が

であるとします。ここでは簡略化のため、疲労切欠き係数も

と仮定します。
13-2.応力集中を考慮した応力振幅
疲労評価では、公称応力ではなく、応力集中を考慮した実効応力振幅を用います。

数値を代入すると、

となります。
13-3.疲労限界との比較
今回は平均応力を無視した完全両振り応力を仮定します。この場合、応力振幅が疲労限度より小さければ、概略的に安全側と判断できます。

今回の値は、 216 < 315
となるため、応力集中を考慮しても疲労限度以下であり、概略的には安全側と評価できます。
13-4.安全率を考慮した確認
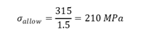
実際の設計では、加工ばらつきや荷重変動を考慮して安全率を設定します。ここでは疲労に対する安全率を1.5とします。
許容応力振幅は

となるため、」

となります。一方、実際の応力振幅は

であるため、 216 > 210 となります。
つまり、安全率まで考慮すると設計余裕は十分とは言えない状態であることが分かります。
13-5.設計上の考察
この計算例で重要なのは、公称応力だけを見ると余裕があるように見えても、応力集中を考慮すると設計余裕が大きく減少する点です。
疲労設計では、特に以下のような部分で応力集中が発生しやすいため注意が必要です。
- 段付き部
- 溝部
- 穴周辺
- 溶接止端
改善策としては、次のような方法が考えられます。
- フィレット半径を大きくして応力集中係数を下げる
- 断面積を増やして公称応力を低減する
- 表面処理によって疲労強度を向上させる
このように、応力集中の評価は疲労設計において非常に重要な要素となります。
14.疲労設計の計算例③:回転軸の疲労設計
次に、機械設計で非常によく扱われる回転軸の疲労設計の簡単な例を示します。
回転軸では、曲げ荷重によって軸表面に引張応力と圧縮応力が交互に作用するため、疲労破壊の代表的な例としてよく取り上げられます。
14-1.設定条件
丸軸の直径を d=30 mm とします。
この軸に曲げモーメント M=150N・m が作用しているとします。
また、キー溝の影響による疲労切欠き係数を

とします。鋼材の引張強さは

とし、疲労限度は次のように仮定します。

したがって、

となります。
14-2.公称曲げ応力の計算
丸軸の曲げ応力は次式で求められます。

単位をそろえるため

とします。これを代入すると、


となります。
14-3.切欠きを考慮した応力振幅
回転軸では、ある一点に注目すると回転によって引張応力と圧縮応力が交互に作用します。そのため、曲げ応力は完全両振り応力として扱うことができます。
キー溝の影響を考慮した応力振幅は

となるため、

となります。
14-4.疲労限度との比較
完全両振り応力を仮定すると、疲労限度との比較により概略評価が可能です。

今回の値は、 90.6 < 293 となるため、疲労限度に対して十分な余裕があることが分かります。
14-5.安全率を考慮した評価
仮に疲労に対する安全率を1.5とすると、許容応力振幅は

となります。
今回の応力振幅は

ですので、 90.6 < 195 となり、安全率を含めても問題のない設計と評価できます。
14-6.設計上の考察
この例では比較的余裕のある結果となりましたが、実際の設計では次のような要因によって疲労強度が低下する場合があります。
- 軸径が小さい
- 曲げモーメントが大きい
- キー溝や段付き部の応力集中が大きい
- 表面粗さや加工傷
回転軸はシンプルな形状に見えますが、疲労破壊の起点になりやすい部位が多い部品でもあります。そのため、軸設計では軸径だけでなく、応力集中や表面状態も含めて総合的に検討することが重要です。
15.疲労強度を向上させる設計ポイント
疲労強度を向上させる方法にはいくつかあります。
主な対策は次の通りです。
- 応力集中の低減
- UIT
- 表面仕上げの改善
- 圧縮残留応力の導入
- 材料強度の向上
特に形状設計の改善は、追加コストをかけずに疲労強度を向上できる場合が多く、非常に重要な設計手法です。
一方で、材料強度の向上に関して、高張力鋼や高硬度の機械構造用鋼などで母材の強度を上げること以外に、高疲労強度鋼というものがあります。疲労き裂の発生を抑えるものでEX-Facter®、進展を抑えるものでFCA®という鋼材がありますので、検討してみるのもいいかもしれません。
*:EX-Facterは神戸製鋼所の登録商標、FCAは日本製鉄の登録商標です。
*:それぞれ現状の入手性については確認が必要です。クマガイ特殊鋼のような専門業者にお問合せください。
16.表面処理による疲労強度改善
疲労き裂は表面から発生するため、表面処理によって疲労強度を改善することができます。
代表的な方法には次のようなものがあります。
• ショットピーニング
• UIT
• 浸炭焼入れ
• 窒化処理
これらの処理では、材料表面に圧縮残留応力を導入することで、き裂の発生や進展を抑制する効果があります。
浸炭焼入れは、機械構造用鋼の中で低炭素の肌焼鋼なども候補になります。
17.実務で使うチェックリスト
疲労強度を考慮した設計では、次の点を確認することが重要です。
- 応力レベルは疲労限度以下か
- 応力集中は適切に評価されているか
- 表面状態は管理されているか
- 使用環境は考慮されているか
これらの要素を総合的に検討することで、信頼性の高い機械設計が可能になります。
18.疲労破壊の事例から学ぶ
実際の疲労破壊事例を分析すると、多くの場合以下のような要因が関係しています。
- 想定していない応力集中
- 溶接品質のばらつき
- 設計時の応力評価不足
破壊事例の分析は、設計の改善にとって非常に重要です。過去の事例を学ぶことで、同様のトラブルを未然に防ぐことができます。
19.設計・施工者向けFAQ
Q1:疲労強度とは何ですか?
A1:疲労強度とは、材料が繰り返し荷重に耐える能力を示す強度です。
材料は静的強度以下の応力でも、繰り返し荷重を受けることで破壊することがあります。この現象を疲労破壊と呼びます。
Q2:疲労強度と引張強さの関係は?
A2:一般的な鋼材では、疲労限度は引張強さの約30~50%程度になることが多いです。ただし材料の種類や表面状態、応力集中などによって大きく変化します。
Q3:S-N曲線とは何ですか?
A3:S-N曲線とは、応力振幅(S)と破断までの繰り返し回数(N)の関係を示した曲線です。疲労寿命を評価する際に広く利用されます。
Q4:疲労強度を向上させる方法は?
A4:疲労強度を向上させる主な方法は次の通りです。
- 応力集中の低減
- 表面仕上げの改善
- ショットピーニングなどの表面処理
- 材料強度の向上
Q5:疲労破壊が起きやすい場所は?
A5:疲労破壊は応力集中が発生する場所で起きやすいです。代表例は次の通りです。
- 段付き部
- 溝部
- 穴周辺
- 溶接止端
20.まとめ|疲労設計は「形状・応力・環境」で決まる
疲労破壊は、単純な強度不足ではなく、
- 形状(応力集中)
- 応力条件(繰り返し荷重・平均応力)
- 使用環境(腐食・温度・表面状態)
といった複数の要因が重なって発生します。
そのため、材料の強度だけで判断するのではなく、設計・加工・使用条件を含めた総合的な検討が重要になります。
特に実務では、
- 応力集中の見落とし
- 溶接部の取り扱い
- 表面状態や加工条件
といった点が、疲労寿命を大きく左右します。
■ クマガイ特殊鋼からのご提案
疲労設計は「計算だけ」で完結するものではなく、材料選定・加工方法・実際の使用条件を踏まえた判断が必要です。
クマガイ特殊鋼では、
- 用途条件に応じた材料選定
- 疲労強度を考慮した鋼材提案
- 加工方法や表面処理のご相談
など、設計段階から実務目線でのサポートを行っています。
図面検討段階や仕様検討の初期段階でも構いませんので、疲労破壊リスクや材料選定についてお悩みの際は、お気軽にご相談ください。
鋼材や加工についてお悩みがあれば
お気軽にお問い合わせください
CONTACT.01
お見積り依頼
定尺や切板のお見積りはもちろんお手持ちのCAD図面や資料を元にお見積もりも可能です。
CONTACT.02
鋼材なんでも相談BOX
メール・電話・Web会議で、
特殊鋼や加工のことにお応えします。
FAQ
よくあるご質問
過去にいただいた様々なお問い合わせやよくあるご質問を掲載しています。